高效的臭氧催化體系在煤化工高鹽廢水處理領域的應用 針對煤化工高鹽廢水中有機物難降解問題,采用浸漬-煅燒法制備了負載有活性金屬氧化物的活性氧化鋁型催化劑,探索催化劑的
閱讀量:10202021
蘇伊士:難降解COD去除技術之Oxyblue臭氧生物濾池工藝(ppt) 隨著市政污水和工業廢水排放標準的日趨嚴格,市政污水、工業廢水,工業園區廢水等都需要進行深度處理來降低水中的污
閱讀量:12642021
最近,催化臭氧方法在深度處理中的應用蓬勃發展,令人欣喜。自然,去除廢水中單位 COD 所需消耗的臭氧量(質量比),不僅是個重要的實踐問題,也有重大理論意義,暫且稱為當量
閱讀量:13182021
催化臭氧氧化影響因素及效果分析 很多臭氧實驗證明,以下幾個因素影響著催化臭氧氧化效果。 1. 初始pH 值 廢水初始pH 值是影響催化臭氧氧化效果的主要因素之一。廢水初始pH 值會極
閱讀量:27112021
臭氧降解PCB有機廢液實驗方法與結論 1 材料和實驗方法 1.1 材料和試劑 氧化鈣 (CaO)、氫氧化鈉 (NaOH)、硫酸 (H2SO4)、異丙醇 (C3H8O)、正己烷 (C6H14)、乙二醇單丁醚 (C6H14O2)、吐溫-80、碘化鉀
閱讀量:22812021
臭氧氧化后可提高含林可霉素廢水的可生化性 中國是世界上抗生素生產大da國,是青霉素、四環素和林可霉素等發酵類抗生素的主要生產基地。在抗生素發酵生產過程中產生的廢母液通
閱讀量:10652021
精確曝氣系統的組成及特點 一,精確曝氣系統的作用: 精確曝氣系統,又稱氣體智能分配系統,主要是對好氧區的每個廊道曝氣量進行按需分配,是污水處理廠重要的設備,其主要應
閱讀量:26482021
水中的微生物(例如細菌、真菌、病毒、原生動物、細菌和真菌孢子)可被臭氧有效滅活,以達到消毒目的。整體消毒機制是通過與臭氧分子或含氧自由基(例如˙OH,O2-,HO2)反應而裂
閱讀量:9172020
3D/O3技術對油田壓裂返排液COD的去除效果研究 目前我國很多油田存在低滲透現象,在石油開采過程中需要使用壓裂工藝改善油層滲透能力,實現油田增產.壓裂作業后返排至地面的壓裂返排
閱讀量:8562020
催化臭氧深度處理在石化行業的應用 生態環境部發布關于《2019年國家先進污染防治技術目錄(水污染防治領域)》(公示稿),共26項先進技術入選。其中催化臭氧深度處理工藝入選,
閱讀量:7862020
強調 納米臭氧/ H2O2工藝在pH 10和25C下對TMAH的去除效果好。 使用納米臭氧時,氣體傳質和臭氧氣體的半衰期增加了 納米臭氧/ H2O2反應產生了可除去TMAH的OH自由基。 在90分鐘內,TMAH中80%
閱讀量:19812020
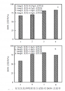
DON 是城市污水廠出水總氮的重要組成部分,約占40%~85%.同時,DON 在污水處理工藝中卻很難被去除[1].據報道,污水處理廠出水中DON 濃度可達0.5~3.0mg/L.城市污水處理廠出水普遍要加氯消毒,污水
閱讀量:9342020
臭氧催化氧化對水中氯苯甲酸去除率研究 城市污水處理廠剩余污泥含碳量高且富含Fe、Mn、Cu、Zn 等金屬,通過一定程度的活化熱解處理,可將其轉化為污泥基活性炭(SAC).研究表明,SAC 不僅
閱讀量:8692020
Copyright ? m.capitalvue.cn 北京同林臭氧實驗網 版權所有 非商用版本 備案號:京ICP備17038069-1號